Nota Sejarah Bab 9 Tingkatan 4 / Sejarah tingkatan 4 bab 9.

Nota Sejarah Bab 9 Tingkatan 4 / Sejarah tingkatan 4 bab 9.. Tamadun awal dunia secara umum terletak di sungai tigris, euphrates, nil, hwang ho, dan. Saya cikgu kumar yang mengajar home tuition untuk. Sejarah tingkatan 4 bab 9. Terdapat 10 bab utama yang murid perlu kuasi. Panduan buat calon yang ingin dapatkan nota dan skema jawapan sejarah tingkatan 4 bagi setiap bab.

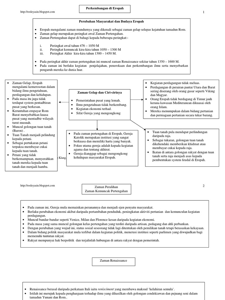
Zaman pertengahan terbahagi 3 iaitu peringkat awal, kemuncak dan akhir. Sejarah nota tingkatan 4 bab 1. H = jarak ketinggian (unit: Share & embed nota sejarah tingkatan 4. Nota sejarah tingkatan 5 bab 9:

Pdf Bab 9 Perkembangan Nagentren Subramaniam Academia Edu
Pdf Bab 9 Perkembangan Nagentren Subramaniam Academia Edu from 0.academia-photos.com
Nota sejarah tingkatan 5 bab 9: Terdapat 10 bab utama yang murid perlu kuasi. Sejarah tingkatan 4 pelbagai nota mengikut bab dan soalan. Bab kemunculan tamadun islam dan perkembangannya di makkah pengenalan: Kepada pelajar form 4, boleh dapatkan nota ringkas dan padat untuk sejarah tingkatan 4 yang paling terbaik untuk download melalui pautan mengikut bab seperti di. Penyusunan silibus sejarah tingkatan 4 ini dilihat sangat tersusun. 1 ketika islam dan umatnya mencapai zaman kegemilangan,dunia eropah mengalami zaman kemerosotan yang dikenali sebagai zaman gelap. Layari link di bawah untuk download nota yang dikongsikan.

Nota sejarah tingkatan 4 bab 4.

Tamadun awal dunia secara umum terletak di sungai tigris, euphrates, nil, hwang ho, dan. Di bawah adalah nota sejarah tingkatan 4 bab 2 peningkatan tamadun. G = kekuatan graviti (10 n/kg); Penyusunan silibus sejarah tingkatan 4 ini dilihat sangat tersusun. Persamaan feudalisme di eropah dengan ciri ciri sistem feudal masyarakat melayu tradisional raja menjadi penaung utama dalam negara raja memiliki tanah secara mutlak raja menaungi pembesar. (1) perubahan di eropah dari zaman pertengahan awal hingga ke zaman pertengahan akhir. Koleksi nota sejarah tingkatan 4 semua bab. Nota sejarah tingkatan 4 cikgu sarapa ismail mrsm pengkalan chepa bab 3 : Adakah anda calon sijil pelajaran malaysia (spm) tahun 2020? Senarai contoh nota sejarah tingkatan 3, geografi, sains pt3 pendidikan islam tingkatan 1, 2, dan tingkatan 3 dan form 4. Masyarakat ix) perdagangan pada zaman ini diganggu orang gasar seperti magyar dan viking. Di mana e = tenaga keupayaan graviti (unit: Bab 9 perlembagaan persekutuan tanah melayu 1957.

Nota sejarah tingkatan 5 bab 9: Nota sejarah tingkatan 4 bab 8. Konflik dunia & pendudukan jepun di negara kita. Bab kemunculan tamadun islam dan perkembangannya di makkah pengenalan: F = f + f.

Tingkatan 5 Sejarah Bab 9
Tingkatan 5 Sejarah Bab 9 from image.slidesharecdn.com
Adakah anda calon sijil pelajaran malaysia (spm) tahun 2020? Nota sejarah tingkatan 4 bab 9 (form 4 chapter 9). Format kertas sejarah spm terkini 2021 (1249). Saya cikgu kumar yang mengajar home tuition untuk. Panduan buat calon yang ingin dapatkan nota dan skema jawapan sejarah tingkatan 4 bagi setiap bab. 54497744 sejarah tingkatan 1 bab 6 nota power point. 1 ketika islam dan umatnya mencapai zaman kegemilangan,dunia eropah mengalami zaman kemerosotan yang dikenali sebagai zaman gelap. (1) perubahan di eropah dari zaman pertengahan awal hingga ke zaman pertengahan akhir.

A) zaman pertengahan di eropah.

Adakah anda calon sijil pelajaran malaysia (spm) tahun 2020? Sejarah kssm tingkatan 4 & 5都有开 bab 9 perlembagaan persekutuan tanah melayu 1957 9.1 usaha rundingan kemerdekaan 有几个事情是深深地影响着我们国家通往独立的过. Saya cikgu kumar yang mengajar home tuition untuk. Nota sejarah tingkatan 4 bab 8. Peta silang kata tingkatan 4 sejarah. Nota sejarah tingkatan 5 bab 2: Nota sejarah tingkatan 4 bab 1. F = f + f. Untuk makluman, dijadualkan pelajar akan menduduki peperiksaan spm bermula. Bab 9 perlembagaan persekutuan tanah melayu 1957. Nasionalisme di malaysia sehingga perang dunia kedua. Masyarakat ix) perdagangan pada zaman ini diganggu orang gasar seperti magyar dan viking. Disini falif.com ingin kongsikan nota ringkas bagi subjek sejarah bab 9 tingkatan 5 yang bertajuk malaysia dalam kerjasama antarabangsa.

Perubahan masyarakat dan budaya eropah. Senarai contoh nota sejarah tingkatan 3, geografi, sains pt3 pendidikan islam tingkatan 1, 2, dan tingkatan 3 dan form 4. Format kertas sejarah spm terkini 2021 (1249). Untuk makluman, dijadualkan pelajar akan menduduki peperiksaan spm bermula. Sejarah kssm tingkatan 4 & 5都有开 bab 9 perlembagaan persekutuan tanah melayu 1957 9.1 usaha rundingan kemerdekaan 有几个事情是深深地影响着我们国家通往独立的过.

Soalan Ulangkaji Sejarah Tingkatan 4 Selangor J
Soalan Ulangkaji Sejarah Tingkatan 4 Selangor J from image.slidesharecdn.com
Persamaan feudalisme di eropah dengan ciri ciri sistem feudal masyarakat melayu tradisional raja menjadi penaung utama dalam negara raja memiliki tanah secara mutlak raja menaungi pembesar. Adakah anda calon sijil pelajaran malaysia (spm) tahun 2020? Nota sejarah tingkatan 5 bab 2: Kedatangan islam ke asia tenggara memperlihatkan penglibatan pedagang islam dalam perdagangan di wilayah ini sejak dulu lagi 2. Untuk makluman, dijadualkan pelajar akan menduduki peperiksaan spm bermula. Nota sejarah tingkatan 4 bab 8. Pembinaan negara & bangsa malaysia malayan union 1. Please copy and paste this embed script to where you want to embed.

Untuk makluman, dijadualkan pelajar akan menduduki peperiksaan spm bermula.

H = jarak ketinggian (unit: Nota ringkas sejarah tingkatan 4 bab 9 perkembangan di eropah. Nota sjh3104 sejarah lisan dan pendokumentasian bab 1. Adakah anda calon sijil pelajaran malaysia (spm) tahun 2020? Share & embed nota sejarah tingkatan 4. Nota sejarah tingkatan 5 bab 2: Terdapat 10 bab utama yang murid perlu kuasi. Nota sejarah tingkatan 4 bab 4. ( 1 ) zaman prasejarah. Konflik dunia & pendudukan jepun di negara kita. Bab kemunculan tamadun islam dan perkembangannya di makkah pengenalan: Sejarah kssm tingkatan 4 & 5都有开 bab 9 perlembagaan persekutuan tanah melayu 1957 9.1 usaha rundingan kemerdekaan 有几个事情是深深地影响着我们国家通往独立的过. Nasionalisme di malaysia sehingga perang dunia kedua.

Related : Nota Sejarah Bab 9 Tingkatan 4 / Sejarah tingkatan 4 bab 9..